h1.entry-title { font-size: 48px; /* tamaño grande para el título */ color: darkred; text-align: center; /* opcional, centra el título */ }
Suscribirme

La matemática del desprecio: Gildo convirtió la coparticipación en una máquina de apartheid social

La coparticipación es el arma de castigo de Insfrán: en su Formosa, un ciudadano de un municipio leal vale nueve veces más que uno de un pueblo disidente. No es gestión, es venganza política. La lealtad se paga con el hambre ajeno.

Locales28/01/2026leonardo fernández acostaleonardo fernández acosta
2fd27fa3-97df-41db-836f-1a6b01b5f93a
El repartidor de desigualdad: Gildo Insfrán distribuye favores y castigos, convirtiendo el dinero público en moneda de sometimiento político (Imagen generada por IA)

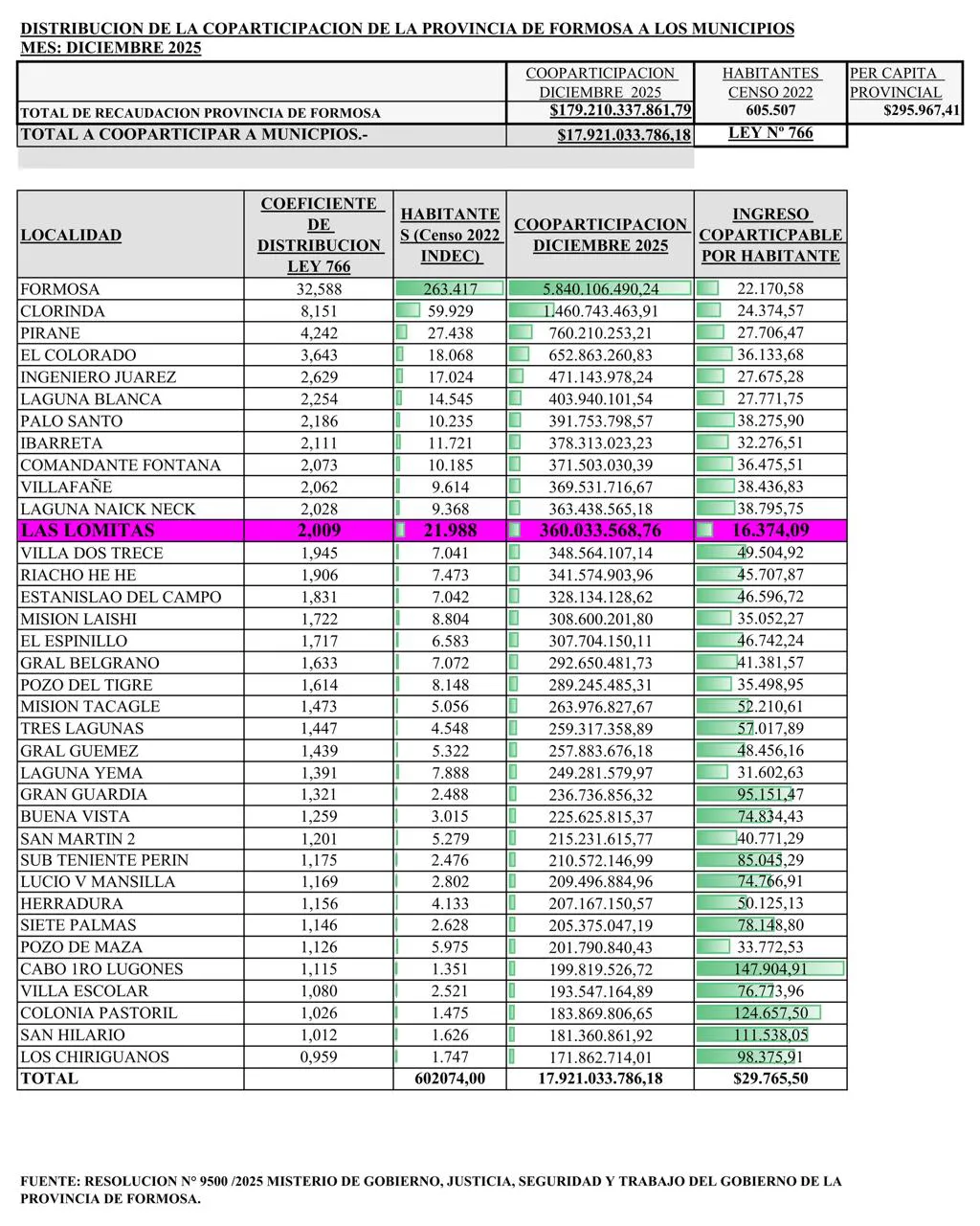
Gildo Insfrán ha escrito, con cifras y actos administrativos, la crónica más cruda de su régimen. No es una gestión, es una sentencia. La coparticipación provincial de diciembre de 2025 no es un balance contable; es el expediente público de un sistema que pone precio a la dignidad de las personas y subasta los derechos ciudadanos al mejor postor político.

Que no quede lugar para el eufemismo. Esto no es “asignación desigual”. Es discriminación fiscal planificada. Es la institucionalización de la ciudadanía de primera y de segunda clase. El Gobierno provincial ha publicado, con una frialdad burocrática que escupe en la cara de la equidad, la tabla exacta de su desprecio. Aquí no hay margen de error: hay intención pura.

Las Lomitas: La sentencia

Un ser humano en Las Lomitas vale, para la máquina gildista, $16.374 mensuales. El fondo del pozo. El valor residual. No es un número; es un latigazo. 22 mil almas condenadas a recibir menos que absolutamente cualquier otro municipio sumiso al aparato. No porque su tierra sea menos fértil o sus necesidades menores, sino porque su intendente osó respirar fuera del corral. El mensaje de Insfrán es un cuchillo: “Si vivís aquí, tu sufrimiento es política. Tu postergación, una lección”.

Los paraisos fiscales de la obediencia

Pónganse de pie los municipios premiados. Aquí, la vida cotiza en oro de la lealtad. Cabo Primero Lugones: $147,904 por habitante. Nueve veces más que un lomiteño. Colonia Pastoril: $124,657.  San Hilario: $111,538. Gran Guardia: $95,151. Buena Vista: $74,834.

WhatsApp Image 2026-01-28 at 08.17.27

Para Insfrán la sangre corre por las venas de un ciudadano de Cabo Primero Lugones es más valiosa que la que corre por las de uno de Las Lomitas ¿Acaso sueñan distinto? ¿Padecen menos el calor? ¿Merecen más el agua potable? La respuesta es única y obscena: tienen un intendente que se arrodilla. Esa es toda la ciencia. La lealtad se paga con monedas que se le arrebatan al hambriento.

La Capital: el ganado inútil

Ni siquiera la masiva ciudad de Formosa escapa a esta lógica de establo. Sus 263,417 habitantes valen $22,170 cada uno, una miseria al lado de las localidades-aldeas premiadas. Son el ganado útil: sostienen la estructura, pagan impuestos, llenan hospitales y universidades, pero no deben prosperar. Deben estar contenidos, nunca empoderados. Dóciles, nunca soberanos.

El verdadero delito: administrar desigualdad

Insfrán ha perfeccionado un arte perverso: administrar la desigualdad como herramienta de dominio. No hay coeficiente técnico, fórmula legal ni excusa geográfica que explique esta brecha. La explica un solo nombre: Gildo. Él decide quién merece vivir y a quién se le puede negar la vida digna. Ha convertido la coparticipación que es instrumento nacido para equilibrar en una máquina de apartheid social. Un sistema de castas financiado con el dinero de todos: los Ciudadanos Premium (los leales). Los Ciudadanos Tolerados (los funcionales). Los Ciudadanos Castigados (los disidentes).

El daño que no se ve en la planilla

Este no es un daño contra intendentes. Es un daño contra seres humanos concretos. Contra la madre que espera una ambulancia que nunca llega. Contra el niño cuya escuela se cae a pedazos. Contra el comerciante cuyo negocio se ahoga en el barro de calles olvidadas. Insfrán no está recortando presupuestos; está racionando el futuro. Está diciéndole a comunidades enteras: “Vos no valés. Tu progreso es un riesgo para mi poder”.

Esto trasciende lo político. Es una violación ética de escala monumental. En la Formosa de Insfrán, tu código postal—tu alineamiento político por proximidad, determina tu valor como persona ante el Estado. Es la perversión última del contrato socialNo es coparticipación. Es la tasación oficial de la dignidad humana. Es la matemática del desprecio, calculada al centavo. Y cada peso de esa diferencia, es una moneda manchada con el descaro del autoritarismo más rancio.

Que estas cifras no duerman. Que sean el estandarte de la indignación. Porque cuando un gobernador pone precio a sus ciudadanos, deja de ser un administrador para convertirse en un verdugo de la esperanza colectiva. Y eso, la historia lo juzga con la misma saña con la que hoy él juzga a su propio pueblo.

Te puede interesar
juan y juan

Los "Juanes": del narcotráfico al abrazo. Cuando el poder intenta convertir un delito federal en un drama familiar

leonardo fernández acosta
Locales25/01/2026

La detención de un ex concejal de Pirané con cinco kilos de marihuana, cocaína y dinero en efectivo no puede ser presentada como un problema de adicciones ni como un drama familiar. Se trata de un caso de narcotráfico que involucra a una figura pública y que tiene consecuencias políticas directas para su padre, ex intendente y actual referente de La Libertad Avanza, que intenta correr el eje del hecho hacia la victimización personal para diluir responsabilidades institucionales.

7a3e64be-7e08-4629-9c62-21c84da96405

Un changuito por mes: la cruel aritmética del salario público en Formosa

leonardo fernández acosta
Locales20/01/2026

En la provincia “más barata” del país, el salario promedio del empleado público no alcanza para vivir: llenar el changuito exige destinar todo el sueldo a alimentos, dejando afuera alquiler, servicios y transporte. Por eso, el changuito completo no existe: se compra menos, se recorta y se sobrevive.

Lo más visto
7a3e64be-7e08-4629-9c62-21c84da96405

Un changuito por mes: la cruel aritmética del salario público en Formosa

leonardo fernández acosta
Locales20/01/2026

En la provincia “más barata” del país, el salario promedio del empleado público no alcanza para vivir: llenar el changuito exige destinar todo el sueldo a alimentos, dejando afuera alquiler, servicios y transporte. Por eso, el changuito completo no existe: se compra menos, se recorta y se sobrevive.

goj

"Boomerang" González: quiso descalificar a una opositora y dejó al gobierno de Insfrán bajo sospecha

leonardo fernández acosta
Internacionales24/01/2026

Lo que está en juego excede largamente una polémica circunstancial o una pelea de redes sociales. Aquí se expone un mecanismo preocupante: un alto funcionario provincial se vale de registros sensibles, de procedencia nunca aclarada, para montar una operación de desgaste contra una dirigente opositora, amparado en un anonimato tan oportuno como funcional y amplificado por el aparato mediático oficial. No es azar ni torpeza: es un libreto conocido que muestra cómo el poder administra la intimidación desde el Estado.

juan y juan

Los "Juanes": del narcotráfico al abrazo. Cuando el poder intenta convertir un delito federal en un drama familiar

leonardo fernández acosta
Locales25/01/2026

La detención de un ex concejal de Pirané con cinco kilos de marihuana, cocaína y dinero en efectivo no puede ser presentada como un problema de adicciones ni como un drama familiar. Se trata de un caso de narcotráfico que involucra a una figura pública y que tiene consecuencias políticas directas para su padre, ex intendente y actual referente de La Libertad Avanza, que intenta correr el eje del hecho hacia la victimización personal para diluir responsabilidades institucionales.

Suscríbete al newsletter para recibir periódicamente las novedades en tu email